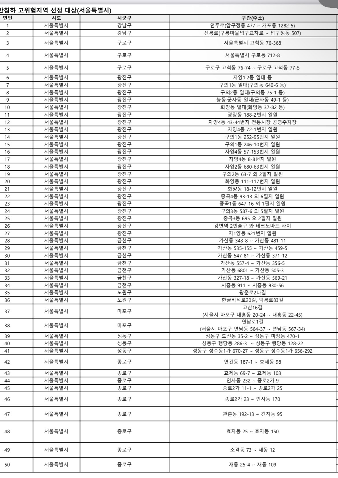
지난달 서울 강동구 도로 한복판에서 '땅 꺼짐' 사고가 발생하고, 누구나 겪을 수 있는 일이라고 걱정하시는 분들 많으실 겁니다.
그런데 서울시가 지난해 각 자치구에 의뢰해 고위험지역 50곳을 정부에 보고한 사실이 MBC 취재 결과 확인됐습니다.
어딜까요? 서울시는 불안감만 조성할 수 있다며 고위험 지역을 공개하지 않고 있지만, 저희는 안전에 관한 정보는 미리 알고 대비해야 한다는 점과 관련법의 취지를 고려해 해당 지역을 공개하기로 했습니다.


<출처 영상>
https://www.youtube.com/watch?v=qNtW5xx5aiw
| “직권 남용해 재판관 지명”.. 고발당한 한덕수 (0) | 2025.04.09 |
|---|---|
| 경찰, '민원사주' 류희림 재출석 통보.. '위증 혐의'도 본격 수사 (0) | 2025.04.09 |
| 헌법학자들, 한덕수 '헌재 재판관 후보 지명'에 "탄핵 사유 해당" (0) | 2025.04.08 |
| '헌법재판관 지명' 이완규, 피의자로 경찰 소환 조사 (0) | 2025.04.08 |
| "또 시작이냐" 시민들 경악.. '내란세력 징글징글해' (0) | 2025.04.08 |